|
XB-GENEPAGE-983308
Gene Symbol: slco4c1
Gene Name: solute carrier organic anion transporter family member 4C1
|
Anatomy terms
|
| intestine whole organism |
|
Anatomy stages
|
| NF stage 10.5 to NF stage 64 |
| RNA-Seq and EST Transcriptome profiles | ???displayGene.tropicalis??? | ???displayGene.laevis???.L | ???displayGene.laevis???.S |
| RNA-Seq stage profile | Data from Session et al. 2016 | Data from Session et al. 2016 | |
| ???displayGene.geoData??? | slco4c1.L | slco4c1.S |
| Stage and Tissue Profiles | ||||||||
|
|
|
||||||
| Experimental Regulation (via RNA-seq) | ||
|
| ||
|
Source: Ding et al. 2017 (laevis) |
||
| Literature Images | Sort by: |
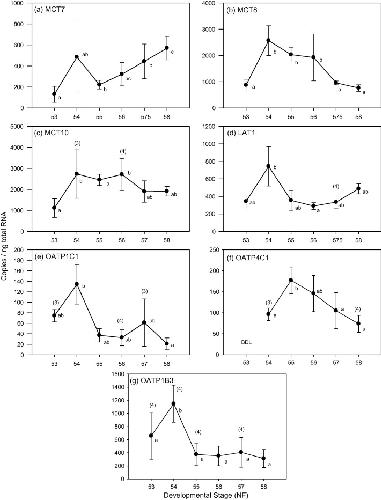
NF stage 53 to NF stage 58 Connors, et al. 2010 | NF stage 56 to NF stage 61 Connors, et al. 2010 | NF stage 54 to NF stage 64 Connors, et al. 2010 |
