Click here to close
Hello! We notice that you are using Internet Explorer, which is not supported by Xenbase and may cause the site to display incorrectly.
We suggest using a current version of Chrome,
FireFox, or Safari.
Slowed relaxation in fatigued skeletal muscle fibers of Xenopus and Mouse. Contribution of [Ca2+]i and cross-bridges.
Westerblad H, Lännergren J, Allen DG.
???displayArticle.abstract???
Slowing of relaxation is an important characteristic of skeletal muscle fatigue. The aim of the present study was to quantify the relative contribution of altered Ca2+ handling (calcium component) and factors downstream to Ca2+ (cross-bridge component) to the slowing of relaxation in fatigued fibers of Xenopus and mouse. Two types of Xenopus fibers were used: easily fatigued, type 1 fibers and fatigue resistant, type 2 fibers. In these Xenopus fibers the free myoplasmic [Ca2+] ([Ca2+]i) was measured with indo-1, and the relaxation of Ca2(+)-derived force, constructed from tetanic [Ca2+]i records and in vivo [Ca2+]i-force curves, was analyzed. An alternative method was used in both Xenopus and mouse fibers: fibers were rapidly shortened during the initial phase of relaxation, and the time to the peak of force redevelopment was measured. These two methods gave similar results and showed proportional slowing of the calcium and cross-bridge components of relaxation in both fatigued type 1 and type 2 Xenopus fibers, whereas only the cross-bridge component was slowed in fatigued mouse fibers. Ca2+ removal from the myoplasm during relaxation was markedly less effective in Xenopus fibers as compared to mouse fibers. Fatigued Xenopus fibers displayed a reduced rate of sarcoplasmic reticulum Ca2+ uptake and increased sarcoplasmic reticulum Ca2+ leak. Some fibers were stretched at various times during relaxation. The resistance to these stretches was increased during fatigue, especially in Xenopus fibers, which indicates that longitudinal movements during relaxation had become less pronounced and this might contribute to the increased cross-bridge component of relaxation in fatigue. In conclusion, slowing of relaxation in fatigued Xenopus fibers is caused by impaired Ca2+ handling and altered cross-bridge kinetics, whereas the slowing in mouse fibers is only due to altered cross-bridge kinetics.
Figure 6. Releases during relaxation in a Xenopus fiber (A and B) and in a mouse fiber (D and E). Records were obtained in control (A and D) and at the end of phase 2 (B and E). Force records with full lines were obtained with the release and records with dashed lines in a preceding tetanus without release. Upward arrows show time of releases; the amplitude of releases was 200 μm for the Xenopus fiber and 70 μm for the mouse fiber. Measurements were performed from the end of stimulation (dotted lines) to the time of peak force after the release (t1) and then to the time when the same relative force was produced in the preceding tetanus without release (t2). Note that in the mouse fiber the shortening step resulted in a reduction of the resting force, and measurements were therefore performed at somewhat different absolute force levels. Mean data of the time of real force relaxation (t1 + t2, •) and the time to peak force after the release (t1, ▾) obtained in Xenopus fibers (C; n = 6) and mouse fibers (F ; n = 4). The relaxation time of real force in control was in each experiment set to 100%.
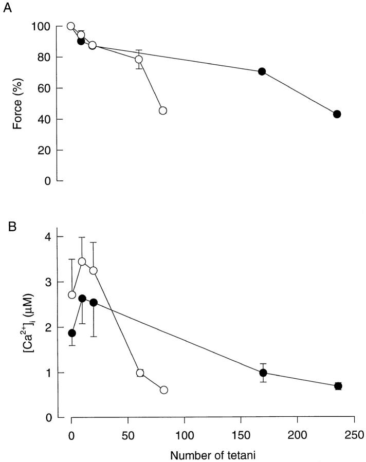
Figure 1. Tetanic force and [Ca2+]i during fatiguing stimulation in type 1 and type 2 fibers. Mean values (±SEM) of tetanic force (A) and tetanic [Ca2+]i (B) during fatigue in type 1 fibers (○; n = 3) and type 2 fibers (•; n = 4). Data obtained in the first tetanus, the tenth tetanus, the 20th tetanus, at the end of phase 2, and at the end of fatiguing stimulation. [Ca2+]i signals were corrected for changes in pH (see materials and methods) at the end of phase 2 and at the end of fatiguing stimulation.
Figure 3. [Ca2+]i-force relations of a type 1 fiber in control and during fatigue. (A) Examples of tetanic [Ca2+]i and force records used to construct [Ca2+]i-force curves. Dashed lines indicate how measurements were performed. The “Control” tetanus was produced at a reduced stimulation frequency (15 Hz) before fatiguing stimulation, while the “Control (recovery)” tetanus was produced at 20 min after the end of fatiguing stimulation. Periods of stimulation are indicated below force records. Curves in B represent least square fits of Eq. 1 to data-points obtained in control (○, reduced stimulation frequency; ▿, during recovery after fatiguing stimulation) and during fatigue (•), respectively. Arrows indicate data-points from the tetani shown above.
Figure 4. Real and Ca2+-derived force of Xenopus fibers in control and at the end of phase 2. Records obtained from a type 1 fiber in control (A) and at the end of phase 2 (B). Records with higher noise level represent Ca2+-derived force. Dashed lines indicate end of tetanic stimulation. Measurements were performed at 70% of the tetanic force (horizontal lines); t1 represents the calcium component, and t2 represents the cross-bridge component of relaxation. C shows collected data (mean ± SEM; n = 7) of the relative time of real force relaxation (t1 + t2, •) and relaxation of the calcium component (t1, ▾). The relaxation time of real force in control was in each experiment set to 100%.
Figure 5. Analysis of the function of SR Ca2+ pumps in control and at the end of phase 2. (A) Average records from seven fibers of [Ca2+]i after tetanic stimulation in control and at the end of phase 2. Dashed curves obtained by a least square fit of the sum of two exponentials to the records. Tetanic stimulation ended at 0 s. B shows plots of the rate of [Ca2+]i decline (d([Ca2+]i)/dt) vs. [Ca2+]i in control and at the end of phase 2. Data-points for control (○) and end of phase 2 (•) were obtained from fitted curves in A. Curves in B were produced by fitting Eq. 2 to the data-points.
Figure 7. Releases during relaxation in a Xenopus fiber where the SR Ca2+ uptake was inhibited by tBuHQ. Force records with (full lines) and without (dashed lines) releases before (A) and after 10-min exposure to 500 nM tBuHQ (B). Dotted lines show end of tetanic stimulation; upward arrows indicate the time when a 250 μm release was performed. Measurements indicated by horizontal lines; observe that the time to peak force after the release (i.e., the calcium component) increased in tBuHQ, whereas the time from the peak to the same real force level (i.e., the cross-bridge component) remained constant. C shows mean data (n = 6) of the relative relaxation time of real force (•) and the calcium component (▾) from control and tBuHQ.
Figure 8. Ramp stretches at constant velocity performed during relaxation in a Xenopus fiber (A and B) and a mouse fiber (C and D). Dashed lines show force of tetani produced immediately before the tetani with stretches. Dotted lines mark the beginning and end of stretches; the amplitude of the stretch was 100 μm for the Xenopus fiber and 40 μm for the mouse fiber. Periods of stimulation are given below each force record. Observe that the stretch in the Xenopus fiber was produced later into relaxation at the end of phase 2 than in control. Note also the different time scales for Xenopus and mouse.
Allen,
Muscle cell function during prolonged activity: cellular mechanisms of fatigue.
1995, Pubmed
Allen,
Muscle cell function during prolonged activity: cellular mechanisms of fatigue.
1995,
Pubmed Allen,
Intracellular calcium and tension during fatigue in isolated single muscle fibres from Xenopus laevis.
1989,
Pubmed
,
Xenbase Anderson,
High-affinity [3H]PN200-110 and [3H]ryanodine binding to rabbit and frog skeletal muscle.
1994,
Pubmed Briden,
The effect of shortening on the time-course of active state decay.
1972,
Pubmed Byrd,
Altered sarcoplasmic reticulum function after high-intensity exercise.
1989,
Pubmed Cannell,
Effect of tetanus duration on the free calcium during the relaxation of frog skeletal muscle fibres.
1986,
Pubmed Cleworth,
Changes in sarcomere length during isometric tension development in frog skeletal muscle.
1972,
Pubmed Cooke,
The inhibition of rabbit skeletal muscle contraction by hydrogen ions and phosphate.
1988,
Pubmed Curtin,
Effects of fatigue and reduced intracellular pH on segment dynamics in 'isometric' relaxation of frog muscle fibres.
1989,
Pubmed Dawson,
Mechanical relaxation rate and metabolism studied in fatiguing muscle by phosphorus nuclear magnetic resonance.
1980,
Pubmed Edman,
Changes in force and stiffness induced by fatigue and intracellular acidification in frog muscle fibres.
1990,
Pubmed Fabiato,
Effects of pH on the myofilaments and the sarcoplasmic reticulum of skinned cells from cardiace and skeletal muscles.
1978,
Pubmed Fitts,
Cellular mechanisms of muscle fatigue.
1994,
Pubmed Godt,
Changes of intracellular milieu with fatigue or hypoxia depress contraction of skinned rabbit skeletal and cardiac muscle.
1989,
Pubmed Gordon,
Extra calcium on shortening in barnacle muscle. Is the decrease in calcium binding related to decreased cross-bridge attachment, force, or length?
1987,
Pubmed Hibberd,
Phosphate release and force generation in skeletal muscle fibers.
1985,
Pubmed Hou,
Role of parvalbumin in relaxation of frog skeletal muscle.
1993,
Pubmed Huxley,
Rapid 'give' and the tension 'shoulder' in the relaxation of frog muscle fibres.
1970,
Pubmed Iwamoto,
Strain sensitivity and turnover rate of low force cross-bridges in contracting skeletal muscle fibers in the presence of phosphate.
1995,
Pubmed Josephson,
Contraction dynamics and power output of skeletal muscle.
1993,
Pubmed Klein,
Decline of myoplasmic Ca2+, recovery of calcium release and sarcoplasmic Ca2+ pump properties in frog skeletal muscle.
1991,
Pubmed Klein,
Two mechanisms of quantized calcium release in skeletal muscle.
1996,
Pubmed Lamb,
Effect of myoplasmic pH on excitation-contraction coupling in skeletal muscle fibres of the toad.
1992,
Pubmed Lännergren,
Transient appearance of vacuoles in fatigued Xenopus muscle fibres.
1990,
Pubmed
,
Xenbase Lännergren,
Force and membrane potential during and after fatiguing, continuous high-frequency stimulation of single Xenopus muscle fibres.
1986,
Pubmed
,
Xenbase Lännergren,
The temperature dependence of isometric contractions of single, intact fibres dissected from a mouse foot muscle.
1987,
Pubmed Lännergren,
Force relaxation, labile heat and parvalbumin content of skeletal muscle fibres of Xenopus laevis.
1993,
Pubmed
,
Xenbase Lännergren,
Relaxation rate of intact striated muscle fibres after flash photolysis of a caged calcium chelator (diazo-2).
1992,
Pubmed
,
Xenbase Lattanzio,
The effects of pH and temperature on fluorescent calcium indicators as determined with Chelex-100 and EDTA buffer systems.
1990,
Pubmed Lee,
Changes in tetanic and resting [Ca2+]i during fatigue and recovery of single muscle fibres from Xenopus laevis.
1991,
Pubmed
,
Xenbase Martyn,
Force and stiffness in glycerinated rabbit psoas fibers. Effects of calcium and elevated phosphate.
1992,
Pubmed Metzger,
Effects of tension and stiffness due to reduced pH in mammalian fast- and slow-twitch skinned skeletal muscle fibres.
1990,
Pubmed Millar,
The effect of phosphate and calcium on force generation in glycerinated rabbit skeletal muscle fibers. A steady-state and transient kinetic study.
1990,
Pubmed Moore,
2,5-Di(tert-butyl)-1,4-benzohydroquinone--a novel inhibitor of liver microsomal Ca2+ sequestration.
1987,
Pubmed Nagesser,
ATP formation and ATP hydrolysis during fatiguing, intermittent stimulation of different types of single muscle fibres from Xenopus laevis.
1993,
Pubmed
,
Xenbase Phillips,
The effect of metabolic fuel on force production and resting inorganic phosphate levels in mouse skeletal muscle.
1993,
Pubmed Potma,
Influence of inorganic phosphate and pH on ATP utilization in fast and slow skeletal muscle fibers.
1995,
Pubmed RITCHIE,
The effect of nitrate on the active state of muscle.
1954,
Pubmed Shirokova,
Ca2+ release from the sarcoplasmic reticulum compared in amphibian and mammalian skeletal muscle.
1996,
Pubmed Simonides,
An assay for sarcoplasmic reticulum Ca2(+)-ATPase activity in muscle homogenates.
1990,
Pubmed Swartz,
Calcium alone does not fully activate the thin filament for S1 binding to rigor myofibrils.
1996,
Pubmed Volpe,
Isolation of terminal cisternae of frog skeletal muscle. Calcium storage and release properties.
1988,
Pubmed Westerblad,
Changes of intracellular pH due to repetitive stimulation of single fibres from mouse skeletal muscle.
1992,
Pubmed Westerblad,
The role of sarcoplasmic reticulum in relaxation of mouse muscle; effects of 2,5-di(tert-butyl)-1,4-benzohydroquinone.
1994,
Pubmed Westerblad,
Relaxation, [Ca2+]i and [Mg2+]i during prolonged tetanic stimulation of intact, single fibres from mouse skeletal muscle.
1994,
Pubmed Westerblad,
The relation between force and intracellular pH in fatigued, single Xenopus muscle fibres.
1988,
Pubmed
,
Xenbase Westerblad,
Intracellular calibration of the calcium indicator indo-1 in isolated fibers of Xenopus muscle.
1996,
Pubmed
,
Xenbase Westerblad,
Decreased Ca2-buffering contributes to slowing of relaxation in fatigued Xenopus muscle fibres.
1990,
Pubmed
,
Xenbase Westerblad,
The influence of intracellular pH on contraction, relaxation and [Ca2+]i in intact single fibres from mouse muscle.
1993,
Pubmed Westerblad,
Force and membrane potential during and after fatiguing, intermittent tetanic stimulation of single Xenopus muscle fibres.
1986,
Pubmed
,
Xenbase Westerblad,
Slowing of relaxation during fatigue in single mouse muscle fibres.
1991,
Pubmed Westerblad,
Changes of the force-velocity relation, isometric tension and relaxation rate during fatigue in intact, single fibres of Xenopus skeletal muscle.
1994,
Pubmed
,
Xenbase Westerblad,
The contribution of [Ca2+]i to the slowing of relaxation in fatigued single fibres from mouse skeletal muscle.
1993,
Pubmed Westerblad,
Slowing of relaxation and [Ca2+]i during prolonged tetanic stimulation of single fibres from Xenopus skeletal muscle.
1996,
Pubmed
,
Xenbase Westerblad,
Changes of myoplasmic calcium concentration during fatigue in single mouse muscle fibers.
1991,
Pubmed Williams,
Fatigue-induced alterations in Ca2+ and caffeine sensitivities of skinned muscle fibers.
1993,
Pubmed