Click here to close Hello! We notice that you are using Internet Explorer, which is not supported by Xenbase and may cause the site to display incorrectly. We suggest using a current version of Chrome, FireFox, or Safari.
XB-ART-36590
Dev Biol 2007 Nov 15;3112:434-48. doi: 10.1016/j.ydbio.2007.08.047.
Show Gene links Show Anatomy links

Apoptosis regulates notochord development in Xenopus.

Malikova MA, Van Stry M, Symes K.


???displayArticle.abstract???
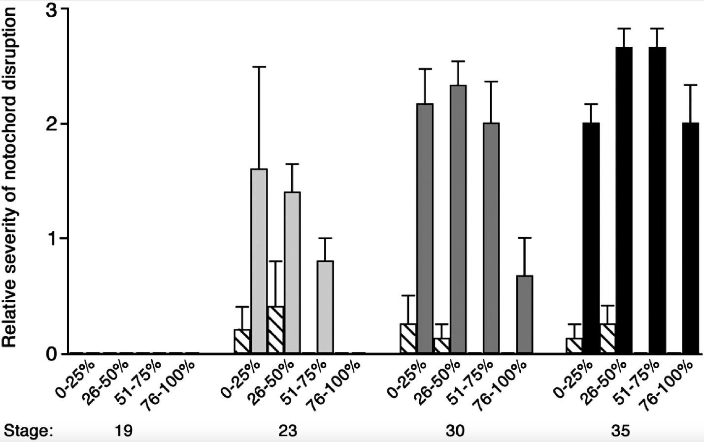
The notochord is the defining characteristic of the chordate embryo and plays critical roles as a signaling center and as the primitive skeleton. In this study we show that early notochord development in Xenopus embryos is regulated by apoptosis. We find apoptotic cells in the notochord beginning at the neural groove stage and increasing in number as the embryo develops. These dying cells are distributed in an anterior to posterior pattern that is correlated with notochord extension through vacuolization. In axial mesoderm explants, inhibition of this apoptosis causes the length of the notochord to approximately double compared to controls. In embryos, however, inhibition of apoptosis decreases the length of the notochord and it is severely kinked. This kinking also spreads from the anterior with developmental stage such that, by the tadpole stage, the notochord lacks any recognizable structure, although notochord markers are expressed in a normal temporal pattern. Extension of the somites and neural plate mirrors that of the notochord in these embryos, and the somites are severely disorganized. These data indicate that apoptosis is required for normal notochord development during the formation of the anterior-posterior axis, and its role in this process is discussed.

???displayArticle.pubmedLink??? 17920580
???displayArticle.pmcLink??? PMC2695716
???displayArticle.link??? Dev Biol
???displayArticle.grants??? [+]

Species referenced: Xenopus laevis
Genes referenced: pcdh1


???attribute.lit??? ???displayArticles.show???
References [+] :
Adams, The mechanics of notochord elongation, straightening and stiffening in the embryo of Xenopus laevis. 1990, Pubmed, Xenbase