Click here to close Hello! We notice that you are using Internet Explorer, which is not supported by Xenbase and may cause the site to display incorrectly. We suggest using a current version of Chrome, FireFox, or Safari.
XB-ART-48188
J Cell Sci 2013 May 01;126Pt 9:2060-8. doi: 10.1242/jcs.123471.
Show Gene links Show Anatomy links

Multi-functional norrin is a ligand for the LGR4 receptor.

Deng C, Reddy P, Cheng Y, Luo CW, Hsiao CL, Hsueh AJ.


???displayArticle.abstract???
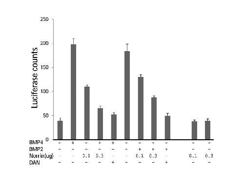
Mammalian LGR4, 5 and 6 are seven-transmembrane receptors that are important for diverse physiological processes. These receptors are orthologous to DLGR2, a Drosophila receptor activated by the burs/pburs heterodimer important for morphogenesis. Although recent studies indicated that four R-spondin proteins are cognate ligands for LGR4, 5 and 6 receptors, several BMP antagonists in vertebrates have been postulated to be orthologous to burs and pburs. Using newly available genome sequences, we showed that norrin is a vertebrate ortholog for insect burs and pburs and stimulates Wnt signaling mediated by LGR4, but not by LGR5 and 6, in mammalian cells. Although norrin could only activate LGR4, binding studies suggested interactions between norrin and LGR4, 5 and 6. Norrin, the Norrie disease gene product, is also capable of activating Wnt signaling mediated by the Frizzled4 receptor and serves as a BMP antagonist. Mutagenesis studies indicated that different norrin mutations found in patients with Norrie disease can be categorized into subgroups according to defects for signaling through the three distinct binding proteins. Thus, norrin is a rare ligand capable of binding three receptors/binding proteins that are important for BMP and Wnt signaling pathways.

???displayArticle.pubmedLink??? 23444378
???displayArticle.pmcLink??? PMC3666258
???displayArticle.link??? J Cell Sci
???displayArticle.grants??? [+]

Species referenced: Xenopus tropicalis
Genes referenced: fzd4 lgr4 lgr5 ndp
GO keywords: Wnt signaling pathway [+]

???displayArticle.omims??? NORRIE DISEASE; ND

???attribute.lit??? ???displayArticles.show???
References [+] :
Avsian-Kretchmer, Comparative genomic analysis of the eight-membered ring cystine knot-containing bone morphogenetic protein antagonists. 2004, Pubmed