Click here to close Hello! We notice that you are using Internet Explorer, which is not supported by Xenbase and may cause the site to display incorrectly. We suggest using a current version of Chrome, FireFox, or Safari.
XB-ART-48554
Iran J Pharm Res 2013 Jan 01;124:855-66.
Show Gene links Show Anatomy links

Effects of L-type Calcium Channel Antagonists Verapamil and Diltiazem on fKv1.4ΔN Currents in Xenopus oocytes.

Chen H, Zhang D, Hua Ren J, Ping Chao S.


???displayArticle.abstract???
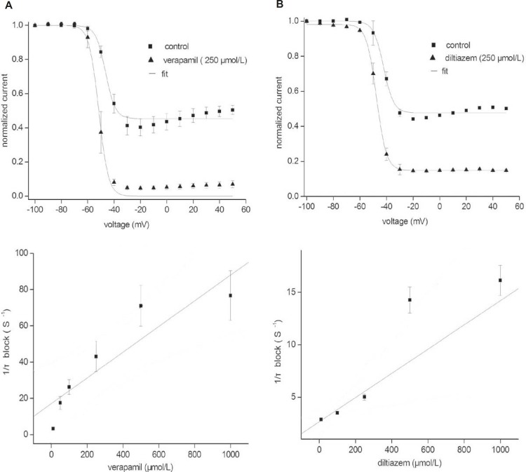
The goal of this study was to determine the effects of the L-type calcium channel blockers verapamil and diltiazem on the currents of voltage-gated potassium channel (fKv1.4ΔN), an N-terminal-deleted mutant of the ferret Kv1.4 potassium channel. Measurements were made using a two electrode voltage clamp technique with channels expressed stably in Xenopus oocytes. The fKv1.4ΔN currents displayed slow inactivation, with a half-inactivation potential of -38.38 mV and slow recovery from inactivation (τ = 1.90 seconds at -90 mV). The fKv1.4ΔN currents exhibited state-dependent blockade by both drugs, and the inhibition was frequency-, voltage-, and concentration-dependent, consistent with open channel block. Verapamil and diltiazem blocked fKv1.4ΔN currents with 50% inhibitory concentration (IC50) values of 260.71 ± 18.50 μmol/L and 241.04 ± 23.06 μmol/L, respectively. Verapamil accelerated the C-type inactivation rate and slowed recovery of the fKv1.4Δ N channel, while shifting the steady activation curve to the right. Blockade of fKv1.4ΔN currents by diltiazem was similar to that of verapamil, but diltiazem accelerated the decay rate of inactivation of fKv1.4ΔN currents without modifying the kinetics of current activation. The present results suggest that verapamil and diltiazem accelerate the C-type inactivation and slow the recovery of the fKv1.4ΔN channel in the open state.

???displayArticle.pubmedLink??? 24523765
???displayArticle.pmcLink??? PMC3920693



Species referenced: Xenopus
Genes referenced: kcna4 tff3.7


???attribute.lit??? ???displayArticles.show???
References [+] :
Brahmajothi, Distinct transient outward potassium current (Ito) phenotypes and distribution of fast-inactivating potassium channel alpha subunits in ferret left ventricular myocytes. 1999, Pubmed