Click here to close
Hello! We notice that you are using Internet Explorer, which is not supported by Xenbase and may cause the site to display incorrectly.
We suggest using a current version of Chrome,
FireFox, or Safari.
Sci Rep
2015 Mar 06;5:8849. doi: 10.1038/srep08849.
Show Gene links
Show Anatomy links
Functional interaction of nicotinic acetylcholine receptors and Na+/K+ ATPase from Locusta migratoria manilensis (Meyen).
Bao H, Sun H, Xiao Y, Zhang Y, Wang X, Xu X, Liu Z, Fang J, Li Z.
???displayArticle.abstract???
Associated proteins are important for the correct functioning of nicotinic acetylcholine receptors (nAChRs). In the present study, a neonicotinoid-agarose affinity column was used to isolate related proteins from a solubilized membrane preparation from the nervous system of Locusta migratoria manilensis (Meyen). 1530 peptides were identified and most of them were involved in the membranous structure, molecular interaction and cellular communication. Among these peptides, Na(+)/K(+) ATPase had the highest MASCOT score and were involved in the molecular interaction, which suggested that Na(+)/K(+) ATPase and nAChRs might have strong and stable interactions in insect central nervous system. In the present study, functional interactions between nAChRs and Na(+)/K(+) ATPase were examined by heterologous expression in Xenopus oocytes. The results showed that the activated nAChRs increased pump currents of Na(+)/K(+) ATPase, which did not require current flow through open nAChRs. In turn, Na(+)/K(+) ATPase significantly increased agonist sensitivities of nAChRs in a pump activity-independent manner and reduced the maximum current (Imax) of nAChRs. These findings provide novel insights concerning the functional interactions between insect nAChRs and Na(+)/K(+) ATPase.
Figure 1. GO classification of identified proteins after Mascot search.Pie chart presentation of GO annotation was generated automatically by the web tool Blast2GO (http://www.blast2go.com/b2ghome) using the newest GO archive provided. The identified proteins were classified at the second level under three root GO domains: (A) cellular component, (B) molecular function and (C) biological process. For some cases, one identified proteins could be annotated into more than one GO term.
Figure 2. Alignment of amino acid sequences of Na+/K+ ATPase α1 subunit of Drosophila melanogaster (DM, Genebank accession NO. AAF55825), Homo sapiens (HS, P05023) and Locusta migratoria (LM, AHH35009).The sequences covered by shadow are identical. The “hinge” sequence is underlined. ATP phosphorylation site is indicated by triangles.
Figure 3. Alignment of amino acid sequences of Na+/K+ ATPase β1 subunit of D. melanogaster (DM, NP_477167), H. sapiens (HS, NP_001668) and L. migratoria
manilensis (LM, AHH35012).The sequences covered by shadow are identical. Cysteine residues composed of S-S bridges are indicated by triangles.
Figure 4. Effect of co-expressed nAChRs on pump currents of Na+/K+ ATPase.(A) Endogenous pump current of Xenopus oocytes as control (CK, solid squares), oocytes expressing Na+/K+ ATPase (solid triangles) and oocytes co-expressing Na+/K+ ATPase and nAChRs (open squares). (B) Pump currents of oocytes expressing Na+/K+ ATPase before (solid triangles) and after (open squares) the activation by 1 μM nicotine and 1 μM DHβE. (C) Pump currents of oocytes co-expressing Na+/K+ ATPase and nAChRs before (solid triangles) and after (open squares) the activation by 1 μM nicotine and 1 μM DHβE.
Figure 5. Effects of Na+/K+ ATPase on agonist sensitivities of nAChRs.(A) Does-response curves for acetylcholine. (B) Does-response curves for nicotine. (C) Does-response curves for imidacloprid. The curves from the oocytes expressing nAChRs (L. migratoria manilensis subunit α1 and R. norvegicus subunit β2) were indicated by open squares. The curves from the oocytes co-expressing nAChRs and Na+/K+ ATPase (subunit α1 and β1) were indicated by solid triangles (without ouabain) and open triangles (with ouabain).
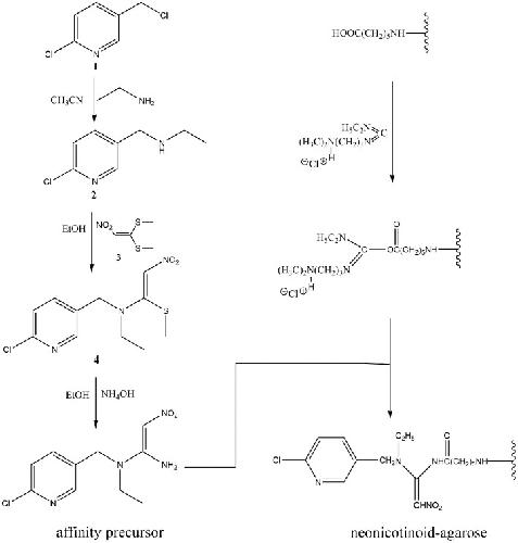
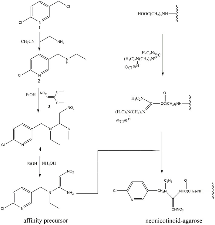
Figure 6. Synthesis of affinity precursor and preparation of neonicotinoid-agarose affinity gel.
Adams,
The genome sequence of Drosophila melanogaster.
2000, Pubmed
Adams,
The genome sequence of Drosophila melanogaster.
2000,
Pubmed Bertrand,
Physiological properties of neuronal nicotinic receptors reconstituted from the vertebrate beta 2 subunit and Drosophila alpha subunits.
1994,
Pubmed
,
Xenbase Blanco,
Na,K-ATPase subunit heterogeneity as a mechanism for tissue-specific ion regulation.
2005,
Pubmed Blount,
BIP associates with newly synthesized subunits of the mouse muscle nicotinic receptor.
1991,
Pubmed Breer,
Molecular forms and subunit structure of the acetylcholine receptor in the central nervous system of insects.
1985,
Pubmed Chang,
Calnexin-dependent enhancement of nicotinic acetylcholine receptor assembly and surface expression.
1997,
Pubmed Chibalin,
Chronic nicotine modifies skeletal muscle Na,K-ATPase activity through its interaction with the nicotinic acetylcholine receptor and phospholemman.
2012,
Pubmed Cho,
Protein-protein interaction networks: from interactions to networks.
2004,
Pubmed Deng,
Interactions of Na+,K+-ATPase and co-expressed delta-opioid receptor.
2009,
Pubmed
,
Xenbase DeTomaso,
Expression, targeting, and assembly of functional Na,K-ATPase polypeptides in baculovirus-infected insect cells.
1993,
Pubmed Doi,
Na+/K+ ATPase regulates the expression and localization of acetylcholine receptors in a pump activity-independent manner.
2008,
Pubmed Exley,
Chaperone protein 14-3-3 and protein kinase A increase the relative abundance of low agonist sensitivity human alpha 4 beta 2 nicotinic acetylcholine receptors in Xenopus oocytes.
2006,
Pubmed
,
Xenbase Gelman,
Role of the endoplasmic reticulum chaperone calnexin in subunit folding and assembly of nicotinic acetylcholine receptors.
1995,
Pubmed Green,
Ion-channel assembly.
1995,
Pubmed Heiny,
The nicotinic acetylcholine receptor and the Na,K-ATPase alpha2 isoform interact to regulate membrane electrogenesis in skeletal muscle.
2010,
Pubmed Hezel,
Caveolin-3 promotes nicotinic acetylcholine receptor clustering and regulates neuromuscular junction activity.
2010,
Pubmed Hu,
The Orbitrap: a new mass spectrometer.
2005,
Pubmed Jeanclos,
The chaperone protein 14-3-3eta interacts with the nicotinic acetylcholine receptor alpha 4 subunit. Evidence for a dynamic role in subunit stabilization.
2001,
Pubmed
,
Xenbase Jones,
Proteins interacting with nicotinic acetylcholine receptors: expanding functional and therapeutic horizons.
2010,
Pubmed Kabbani,
Intracellular complexes of the beta2 subunit of the nicotinic acetylcholine receptor in brain identified by proteomics.
2007,
Pubmed Kragenbrink,
Chronic stimulation of acetylcholine receptors: differential effects on Na,K-ATPase isoforms in a myogenic cell line.
1996,
Pubmed Krivoi,
On the functional interaction between nicotinic acetylcholine receptor and Na+,K+-ATPase.
2006,
Pubmed Lansdell,
Host-cell specific effects of the nicotinic acetylcholine receptor chaperone RIC-3 revealed by a comparison of human and Drosophila RIC-3 homologues.
2008,
Pubmed Lansdell,
The Drosophila nicotinic acetylcholine receptor subunits Dα5 and Dα7 form functional homomeric and heteromeric ion channels.
2012,
Pubmed
,
Xenbase Liu,
Heteromeric co-assembly of two insect nicotinic acetylcholine receptor alpha subunits: influence on sensitivity to neonicotinoid insecticides.
2009,
Pubmed
,
Xenbase Liu,
A nicotinic acetylcholine receptor mutation conferring target-site resistance to imidacloprid in Nilaparvata lugens (brown planthopper).
2005,
Pubmed Liu,
Identification of two Lynx proteins in Nilaparvata lugens and the modulation on insect nicotinic acetylcholine receptors.
2009,
Pubmed
,
Xenbase Martin,
Structure-function relationships in the NA+,K+-pump.
2005,
Pubmed Matsuda,
Neonicotinoids: insecticides acting on insect nicotinic acetylcholine receptors.
2001,
Pubmed Millar,
RIC-3: a nicotinic acetylcholine receptor chaperone.
2008,
Pubmed Miwa,
lynx1, an endogenous toxin-like modulator of nicotinic acetylcholine receptors in the mammalian CNS.
1999,
Pubmed
,
Xenbase Mobasheri,
Na+, K+-ATPase isozyme diversity; comparative biochemistry and physiological implications of novel functional interactions.
2000,
Pubmed Nene,
Genome sequence of Aedes aegypti, a major arbovirus vector.
2007,
Pubmed Richards,
The genome of the model beetle and pest Tribolium castaneum.
2008,
Pubmed Sattelle,
Cholinergic nerve terminals in the central nervous system of insects.
1990,
Pubmed Scheiner-Bobis,
The sodium pump. Its molecular properties and mechanics of ion transport.
2002,
Pubmed Shoaib,
Antagonism of stimulus properties of nicotine by dihydro-beta-erythroidine (DHbetaE) in rats.
2000,
Pubmed Skou,
The Na,K-ATPase.
1992,
Pubmed Su,
Identification of novel biomarkers for sepsis prognosis via urinary proteomic analysis using iTRAQ labeling and 2D-LC-MS/MS.
2013,
Pubmed Tomizawa,
Novel neonicotinoid-agarose affinity column for Drosophila and Musca nicotinic acetylcholine receptors.
1996,
Pubmed Xie,
Na(+)/K(+)-ATPase as a signal transducer.
2002,
Pubmed Yixi,
Functional co-expression of two insect nicotinic receptor subunits (Nlalpha3 and Nlalpha8) reveals the effects of a resistance-associated mutation (Nlalpha3) on neonicotinoid insecticides.
2009,
Pubmed
,
Xenbase