Click here to close Hello! We notice that you are using Internet Explorer, which is not supported by Xenbase and may cause the site to display incorrectly. We suggest using a current version of Chrome, FireFox, or Safari.
XB-ART-60817
Sci Rep 2022 Aug 10;121:13634. doi: 10.1038/s41598-022-18053-7.
Show Gene links Show Anatomy links

Evolutionary diversification of epidermal barrier genes in amphibians.

Sachslehner AP, Eckhart L.


???displayArticle.abstract???
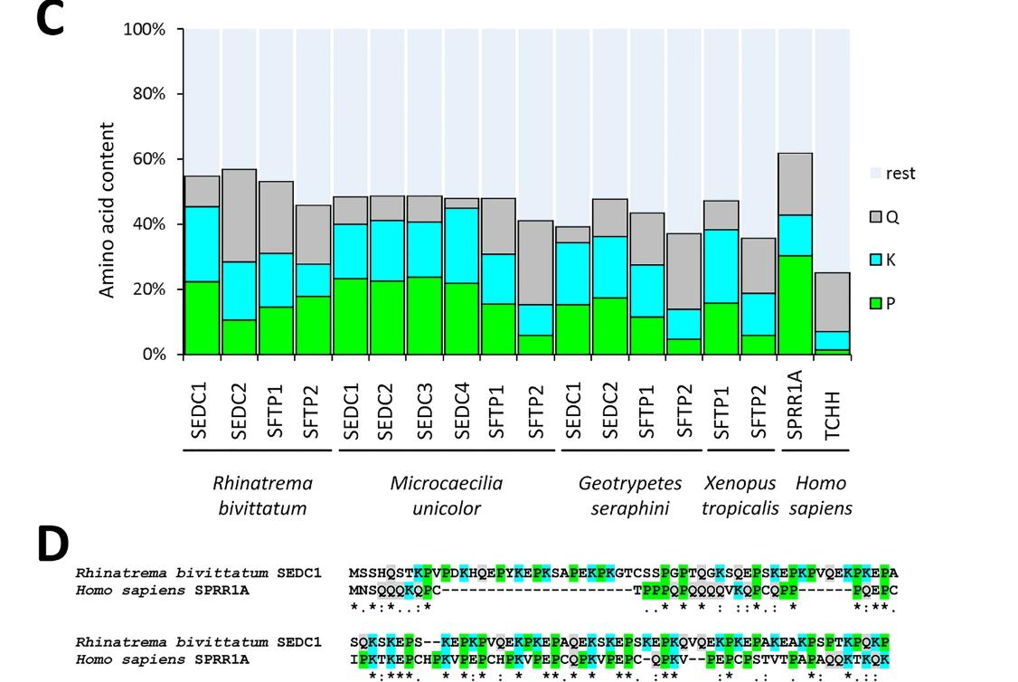
The epidermal differentiation complex (EDC) is a cluster of genes encoding components of the skin barrier in terrestrial vertebrates. EDC genes can be categorized as S100 fused-type protein (SFTP) genes such as filaggrin, which contain two coding exons, and single-coding-exon EDC (SEDC) genes such as loricrin. SFTPs are known to be present in amniotes (mammals, reptiles and birds) and amphibians, whereas SEDCs have not yet been reported in amphibians. Here, we show that caecilians (Amphibia: Gymnophiona) have both SFTP and SEDC genes. Two to four SEDC genes were identified in the genomes of Rhinatrema bivittatum, Microcaecilia unicolor and Geotrypetes seraphini. Comparative analysis of tissue transcriptomes indicated predominant expression of SEDC genes in the skin of caecilians. The proteins encoded by caecilian SEDC genes resemble human SEDC proteins, such as involucrin and small proline-rich proteins, with regard to low sequence complexity and high contents of proline, glutamine and lysine. Our data reveal diversification of EDC genes in amphibians and suggest that SEDC-type skin barrier genes have originated either in a common ancestor of tetrapods followed by loss in Batrachia (frogs and salamanders) or, by convergent evolution, in caecilians and amniotes.

???displayArticle.pubmedLink??? 35948609
???displayArticle.pmcLink??? PMC9365767
???displayArticle.link??? Sci Rep
???displayArticle.grants??? [+]

Species referenced: Xenopus tropicalis
Genes referenced: gapdh s100a1 s100a11 s100a16


???attribute.lit??? ???displayArticles.show???