XB-ART-60934
Integr Comp Biol
2024 Sep 17;642:354-365. doi: 10.1093/icb/icae057.
Show Gene links
Show Anatomy links
Water Availability and Temperature as Modifiers of Evaporative Water Loss in Tropical Frogs.
???displayArticle.abstract???
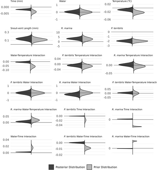
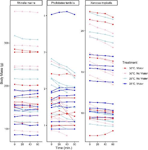
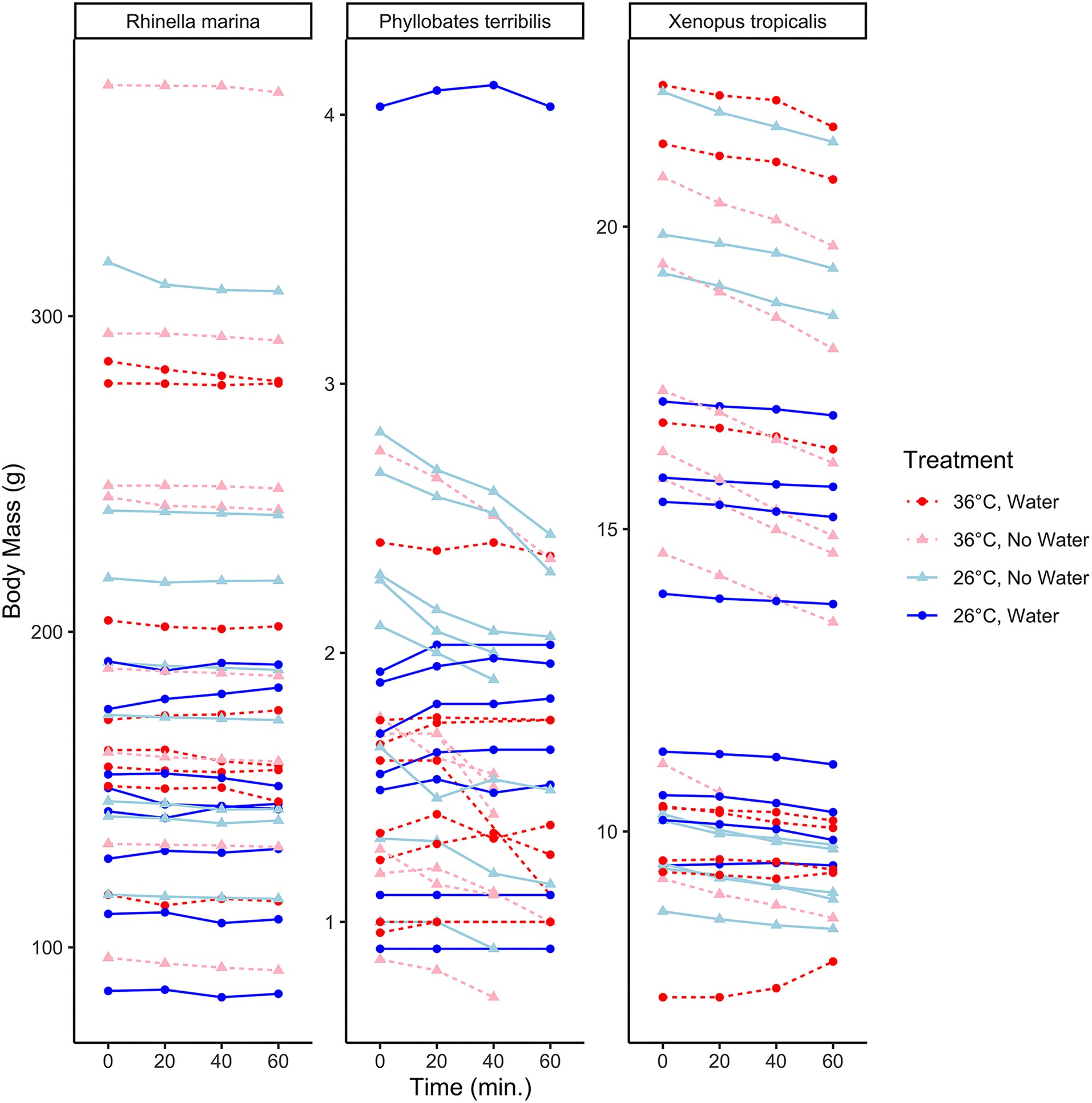
Water plays a notable role in the ecology of most terrestrial organisms due to the risks associated with water loss. Specifically, water loss in terrestrial animals happens through evaporation across respiratory tissues or the epidermis. Amphibians are ideal systems for studying how abiotic factors impact water loss since their bodies often respond quickly to environmental changes. While the effect of temperature on water loss is well known across many taxa, we are still learning how temperature in combination with humidity or water availability affects water loss. Here, we tested how standing water sources (availability) and temperature (26 and 36°C) together affect water loss in anuran amphibians using a Bayesian framework. We also present a conceptual model for considering how water availability and temperature may interact, resulting in body mass changes. After accounting for phylogenetic and time autocorrelation, we determined how different variables (water loss and uptake rates, temperature, and body size) affect body mass in three species of tropical frogs (Rhinella marina, Phyllobates terribilis, and Xenopus tropicalis). We found that all variables impacted body mass changes, with greater similarities between P. terribilis and X. tropicalis, but temperature only showed a notable effect in P. terribilis. Furthermore, we describe how the behavior of P. terribilis might affect its water budget. This study shows how organisms might manage water budgets across different environments and is important for developing models of evaporative water loss and species distributions.
???displayArticle.pubmedLink??? 38839599
???displayArticle.pmcLink??? PMC11406161
???displayArticle.link??? Integr Comp Biol
???displayArticle.grants???
Species referenced: Xenopus tropicalis Xenopus laevis
GO keywords: response to water
???attribute.lit??? ???displayArticles.show???
