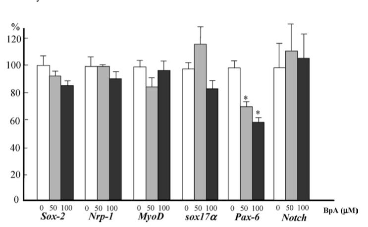
XB-PHENO-23564
Xla wt + Bisphenol A [50uM], Imaoka S et al. (2007)
| Experiment + Assay: | Xla wt + Bisphenol A [50uM] + NF 35 | ||||||||||||||||||||||
|---|---|---|---|---|---|---|---|---|---|---|---|---|---|---|---|---|---|---|---|---|---|---|---|
|
|||||||||||||||||||||||
| Expression Phenotypes (1): |
|
| Experiment + Assay: | Xla wt + Bisphenol A [50uM] + NF 35 | ||||||||||||||||||||||
|---|---|---|---|---|---|---|---|---|---|---|---|---|---|---|---|---|---|---|---|---|---|---|---|
|
|||||||||||||||||||||||
| Expression Phenotypes (1): |
|